近期,禁忌书屋
李秀娟课题组利用伽玛暴海量观测数据对这一高能爆发现象的自组织临界性特征进行了挖掘和分析,获得了一系列的成果和研究进展。
1. 研究从短伽玛暴瞬时辐射阶段的多维观测特征出发,利用马尔可夫链蒙特卡罗 (MCMC)方法探寻伽玛暴光变曲线特性的分布特征,挖掘伽玛暴系统自组织临界现象的新证据。研究发现CGRO/BATSE卫星短伽玛暴多个尺度参数的微分分布和累积分布都呈现显著的幂律特征。同时,研究对比分析了Swift/BAT卫星短伽玛暴的结果,首次证实了不同探测器下短伽玛暴的脉冲特征分布均可以通过幂律模型来描述,且不同能段之间都不存在明显的幂律指数演化。研究结果表明,伽玛暴瞬时辐射和余辉辐射阶段的X射线耀发一样起源于中心引擎不同的活跃阶段,具有相同的磁主导随机过程和辐射机制,可以用空间维数S=3和经典扩散β=1的分形扩散、自组织临界系统来解释。

该研究(Li, Xiu-Juan, Zhang Wen-Long, Yi Shuang-Xi, Yang Yu-Peng, Li Jia-Lun. Evidence for the Self-organized Criticality Phenomenon in the Prompt Phase of Short Gamma-Ray Bursts, 2023)已发表于天文领域国际顶级期刊The Astrophysical Journal Supplement Series。该论文以禁忌书屋
为第一完成单位,李秀娟老师为论文第一作者。The Astrophysical Journal Supplement Series主要发表包含大量数据或计算的重要文章,是中科院1区TOP期刊,最新影响因子为8.7。
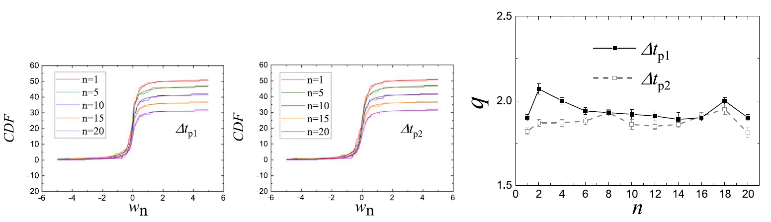
2. 伽玛暴瞬时前兆辐射成分由于其辐射比较弱,受样本数量的限制,其物理起源一直成谜。近几年,随着观测设备的发展前兆辐射样本逐渐丰富起来,为解开其物理本质提供了数据支持。本研究再次利用马尔可夫链蒙特卡罗 (MCMC) 方法探寻长伽玛暴前兆辐射尺度参数分布的幂律特征,结果发现前兆辐射也可以用自组织临界性框架来解释。同时,为了进一步挖掘前兆辐射自组织临界性存在的证据,本研究还利用q-Gaussian函数分别拟合了各种尺度特性的差异分布。我们发现当尺度特性差异间隔n变化时分布特性却呈现出尺度结构不变性,且q值和幂律指数α之间很好地符合已知的经验关系,进一步验证了我们的结论。此外,我们还分析了主爆发的相关特性并与前兆辐射进行对比,结果表明不论前兆辐射还是主爆发都可以归因于一个三维的自组织的临界性系统,由类似的磁主导过程驱动,为解开前兆辐射的物理本质提供了重要线索。

该研究(Li Xiu-Juan, Yang Yu-Peng. Signatures of the Self-organized Criticality Phenomenon in Precursors of Gamma-Ray Bursts, 2023)已发表于天文领域国际顶级期刊The Astrophysical Journal Letters。禁忌书屋
为论文第一完成单位,李秀娟老师为论文第一作者和通讯作者。The Astrophysical Journal Letters主要发表具有重要原创性的研究快报,注重创新和时效性,是中科院1区TOP期刊,自然指数期刊,最新影响因子为7.9。
禁忌书屋相关的文章链接:
//doi.org/10.3847/1538-4365/acc398
//doi.org/10.3847/2041-8213/acf12c
该系列研究得到了国家自然科学基金、山东省自然科学基金和南京大学现代天文与天体物理教育部重点实验室开放课题基金资助支持。