禁忌书屋
院讯(通讯员:程名)2024年以来,禁忌书屋
李秀娟副教授课题组对伽马射线暴及X射线暴等高能天文爆发现象进行了研究,获得了一系列的成果和研究进展。
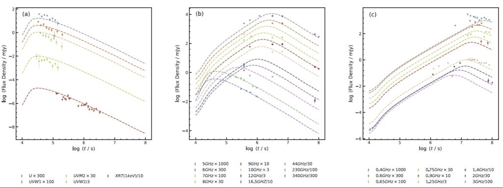
(1)论文“Xiu-Juan Li, Zhi-Bin Zhang, Yong-Feng Huang, Fan Xu. Multiwavelength Analysis of the Supernova-associated Low-luminosity GRB 171205A, 2024”发表在天文领域国际顶级期刊The Astrophysical Journal,李秀娟副教授为论文第一作者。The Astrophysical Journal是中科院2区TOP期刊,最新影响因子为4.8。

研究对超新星(SN)成协低光度伽马射线暴(GRB)171205A的瞬时伽马辐射、X射线和射电波段余辉辐射多波段观测特征展开分析,限制其中心引擎、喷流结构等物理模型。通过对峰值光度与谱延迟关系的深入研究,探寻GRB 171205A的物理特性与其它超新星成协SN/GRBs的关联。同时,研究采用均匀喷流模型GRB 171205A多波段余辉辐射拟合,对其喷流半张角和视线角进行限制,结果表明其辐射主要起源于喷流外的茧辐射。
全文链接://doi.org/10.3847/1538-4357/ad18a8
(2)论文“Xiu-Juan Li, Jia-Mu Liu, Ming Cheng, Yan-Na Wang, Wen-Long Zhang. Scale-invariant Features of X-Ray Bursts from SGR J1935+2154 Detected by Insight-HXMT, 2024”发表在天文领域国际期刊The Publications of the Astronomical Society of the Pacific。禁忌书屋
为论文第一完成单位,李秀娟老师为论文第一作者和通讯作者,王艳娜老师、2023级研究生刘嘉木和2022级本科生程名为参与作者。The Astrophysical Journal是中科院3区期刊,最新影响因子为3.3。

研究使用Insight-HXMT软伽玛重复暴(SGR)J1935+2154的X射线暴爆发的净计数、持续时间和等待时间等观测特征进行研究,验证X射线爆发的尺度结构不变性特征,寻找Insight-HXMT卫星三个X射线望远镜观测特征之间的演化。研究确认了来自SGR J1935+2154的X射线爆发可以归因于一个三维的分形扩散自组织临界系统,揭示了这些X射线爆发及其相关的天文现象可能起源于某些相似磁主导的随机过程。
全文链接://doi.org/10.1088/1538-3873/ad6a8a